Проверьте себя №5 ГДЗ Мерзляк Полонский 7 класс (Алгебра)
Решение #1
Решение #2

Рассмотрим вариант решения задания из учебника Мерзляк, Полонская, Якир 7 класс, Вентана-Граф:
Задание «Проверьте себя» № 5 в тестовой форме
1. Представьте в виде многочлена выражение (х - 6)(х^2 + 6х + 36).
А) x^3 - 36 Б) x^3 + 36 В) x^3 - 216 Г) x^3 + 216
2. Найдите многочлен М, если y^3 - 64 = (у — 4)·М.
А) y^2 — 8y + 16 В) у^2 - 4у + 16
Б) y^2 + 8y + 16 Г) у^2 + 4y + 16
3. Упростите выражение (а^2 + 2b^3)(а^4 - 2а^2 b^3 + 4b^6).
А) а^6 + 4b^9 Б) а^6 - 4b^9 В) а^6 - 8b^9 Г) а^6 + 8b^9
4. Разложите на множители многочлен Зс^2 - 48.
А) 3(с- 16) В) 3(с - 4)^2
Б) 3(с - 4)(с + 4) Г) Зс(с - 16)
5. Разложите на множители выражение 7а^2 - 42а + 63.
А) 7(а - 3)(а + 3) В) 7(а + З)^2
Б) 7(а - З)^2 Г) Г) (а - 9)^2
6. Разложите на множители многочлен a^8 - a^6.
А) а^6 (а-1) В) а^6 (а + 1)^2
Б) a^6 (a-1)(а+1) Г) а^6 (а - 1)^2
7. Разложите на множители выражение m^2 -n^2 +m +n.
А) (m + n)(m - n + 1) В) (m - n)(m + n + 1)
Б) (m - n)(m - n + 1) Г) (m + n)(m + n + 1)
8. Представьте в виде произведения выражение х^2 - у^2 +14у - 49.
А) (х - у + 7)(х + у + 7) В) (х - у + 7)(x + у - 7)
Б) (x - y - 7)(x + y + 7) Г) (х - у - 7)(х + у -7)
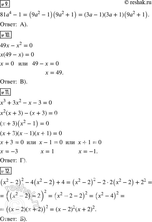
9. Разложите на множители многочлен 81a^4 -1.
А) (За - 1)(3а + 1)(9а^2 + 1) В) (За - 1)^2(3а + 1)^2
Б) (За^2 - 1)(3а^2 + 1)(9а^2 + 1) Г) (За - 1)^4
10. Решите уравнение 49х - х^2 = 0.
А) 0; 7 Б) -7; 0; 7 В) 0; 49 Г) -7; 7
11. Решите уравнение х^3 + Зх^2 - х - 3 = 0.
А) -1; 1 Б) -1; 3 В) 1; 3 Г) -3; -1; 1
12. Представьте в виде произведения выражение (х^2 - 2)^2 - 4(x^2 - 2) + 4.
А) (х - 4)^2 В) x^4
Б) (х -2)^2(х + 2)^2 Г) (х^2 - 6)^2
*размещая тексты в комментариях ниже, вы автоматически соглашаетесь с пользовательским соглашением