Упр.9 ГДЗ Мерзляк Полонский 7 класс (Алгебра)
Решение #1
Решение #2

Рассмотрим вариант решения задания из учебника Мерзляк, Полонская, Якир 7 класс, Вентана-Граф:
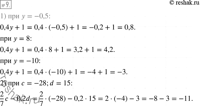
9. Вычислите значение выражения:
1) 0,4у + 1 при у = -0,5; 8; -10;
2) 2/7*с - 0,2d при с = -28, d = 15.
*размещая тексты в комментариях ниже, вы автоматически соглашаетесь с пользовательским соглашением