Упр.7.38 ГДЗ Мерзляк Поляков 7 класс (Алгебра)
Решение #1

Рассмотрим вариант решения задания из учебника Мерзляк, Поляков 7 класс, Вентана-Граф:
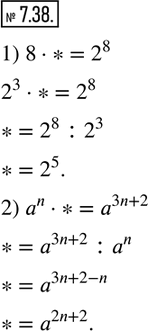
7.38. Замените звездочку степенью так, чтобы выполнялось равенство:
1) 8• * =2^8;
2) a^n• * =a^(3n+2),где n-натуральное число.
*размещая тексты в комментариях ниже, вы автоматически соглашаетесь с пользовательским соглашением