Упр.6.32 ГДЗ Мерзляк Поляков 7 класс (Алгебра)
Решение #1

Рассмотрим вариант решения задания из учебника Мерзляк, Поляков 7 класс, Вентана-Граф:
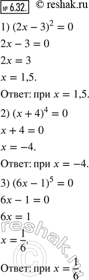
6.32. При каком значении x равно нулю значение выражения:
1) (2x-3)^2; 2) (x+4)^4; 3) (6x-1)^5?
*размещая тексты в комментариях ниже, вы автоматически соглашаетесь с пользовательским соглашением