Упр.6.31 ГДЗ Мерзляк Поляков 7 класс (Алгебра)
Решение #1

Рассмотрим вариант решения задания из учебника Мерзляк, Поляков 7 класс, Вентана-Граф:
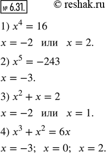
6.31. Какие из чисел -3, -2, -1, 0, 1, 2, 3 являются корнями уравнения:
1) x^4=16;
2) x^5=-243;
3) x^2+x=2;
4) x^3+x^2=6x?
*размещая тексты в комментариях ниже, вы автоматически соглашаетесь с пользовательским соглашением