Упр.6.3 ГДЗ Мерзляк Поляков 7 класс (Алгебра)
Решение #1

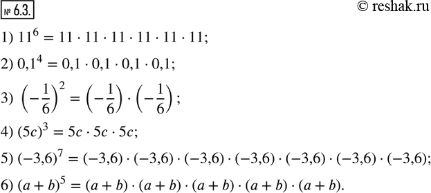
Рассмотрим вариант решения задания из учебника Мерзляк, Поляков 7 класс, Вентана-Граф:
6.3. Пользуясь определением степени, представьте в виде произведения степень:
1) 11^6; 2) 0,1^4; 3) (-1/6)^2;
4) (5c)^3; 5) (-3,6)^7; 6) (a+b)^5.
*размещая тексты в комментариях ниже, вы автоматически соглашаетесь с пользовательским соглашением