Упр.491 ГДЗ Мерзляк Полонский 7 класс (Алгебра)
Решение #1
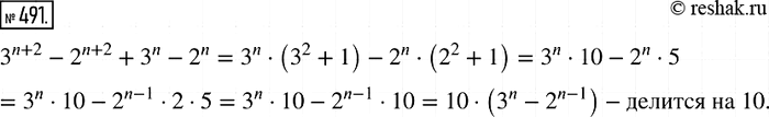
Решение #2

Рассмотрим вариант решения задания из учебника Мерзляк, Полонская, Якир 7 класс, Вентана-Граф:
491. Докажите, что при любом натуральном значении n, большем 1, значение выражения 3^(n + 2) - 2^(n + 2) + 3n - 2n делится нацело на 10.
*размещая тексты в комментариях ниже, вы автоматически соглашаетесь с пользовательским соглашением