Упр.485 ГДЗ Мерзляк Полонский 7 класс (Алгебра)
Решение #1
Решение #2

Рассмотрим вариант решения задания из учебника Мерзляк, Полонская, Якир 7 класс, Вентана-Граф:
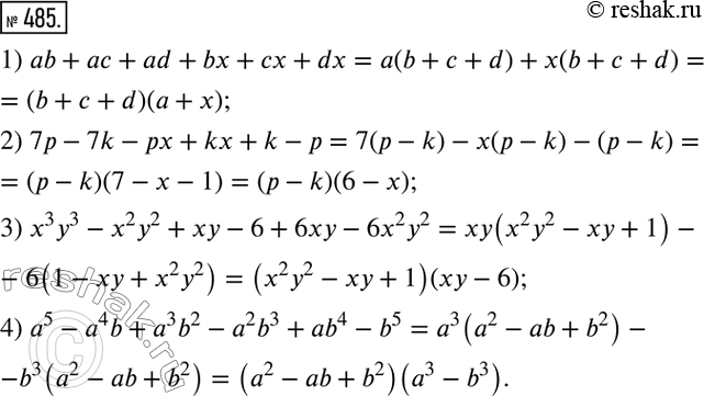
485. Представьте выражение в виде произведения многочленов:
1) ab + ас + ad + bх + сх + dx;
2) 7р - 7k - рх + kx + k - р;
3) х3y3 - х2у2 + ху - 6 + 6ху - 6х2у2;
4) а5 - а4b + a3b2 - a2b3 + ab4 - b5.
*размещая тексты в комментариях ниже, вы автоматически соглашаетесь с пользовательским соглашением