Упр.41.9 ГДЗ Мерзляк 11 класс Углубленный уровень (Алгебра)
Решение #1

Рассмотрим вариант решения задания из учебника Мерзляк, Номировский, Поляков 11 класс, Вентана-Граф, Просвещение:
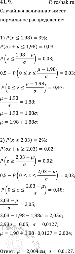
41.9. Автомат штампует металлические круглые шайбы для велосипедов. Шайбу можно использовать, если её радиус лежит в диапазоне от 1,98 до 2,03 см. Оцените математическое ожидание и стандартное отклонение радиуса шайб, произведённых этим автоматом, если известно, что 3 % шайб оказываются слишком маленькими, а 2 % — слишком большими.
*размещая тексты в комментариях ниже, вы автоматически соглашаетесь с пользовательским соглашением