Упр.40.39 ГДЗ Мерзляк Поляков 7 класс (Алгебра)
Решение #1

Рассмотрим вариант решения задания из учебника Мерзляк, Поляков 7 класс, Вентана-Граф:
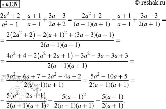
40.39. Упростите выражение:
(2a^2+2)/(a^2-1)-(a+1)/(a-1)+(3a-3)/(2a+2).
*размещая тексты в комментариях ниже, вы автоматически соглашаетесь с пользовательским соглашением