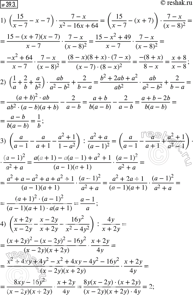
Упр.39.3 ГДЗ Мерзляк Поляков 7 класс (Алгебра)
Решение #1

Рассмотрим вариант решения задания из учебника Мерзляк, Поляков 7 класс, Вентана-Граф:
39.3. Упростите выражение:
1) (15/(x-7)-x-7)·(7-x)/(x^2-16x+64);
2) (1/a+2/b+a/b^2 )·ab/(a^2-b^2 )+2/(b-a);
3) (a/(a-1)-a/(a+1)-(a^2+1)/(1-a^2 )) : (a^2+a)/(a-1)^2 ;
4) ((x+2y)/(x-2y)-(x-2y)/(x+2y)-(16y^2)/(x^2-4y^2 )) : 4y/(x+2y);
5) ((3a-8)/(a^2-2a+4)+1/(a+2)-(4a-28)/(a^3+8))·(a^2-4)/4.
*размещая тексты в комментариях ниже, вы автоматически соглашаетесь с пользовательским соглашением