Упр.363 ГДЗ Мерзляк Полонский 7 класс (Алгебра)
Решение #1
Решение #2

Рассмотрим вариант решения задания из учебника Мерзляк, Полонская, Якир 7 класс, Вентана-Граф:
363. Докажите тождество:
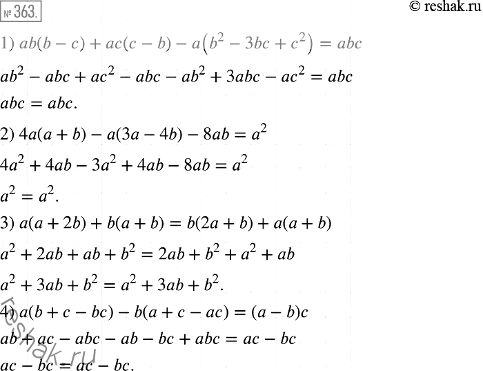
1) ab(b -с) + ас(с - b) - а (b2 - 3bс + с2) = abc;
2) 4а(а + b) - а(3а - 4b) - 8аb = а2;
3) а(а + 2b) + b(а + b) = b(2а + b) + а(а + b);
4) а(b + с - bс) - b(а + с - ас) = (а - b)с.
*размещая тексты в комментариях ниже, вы автоматически соглашаетесь с пользовательским соглашением