Упр.352 ГДЗ Мерзляк Полонский 7 класс (Алгебра)
Решение #1
Решение #2

Рассмотрим вариант решения задания из учебника Мерзляк, Полонская, Якир 7 класс, Вентана-Граф:
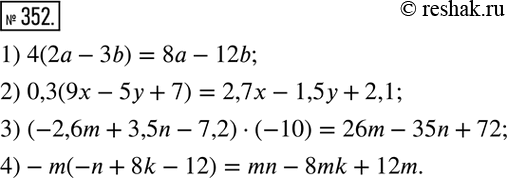
352. Раскройте скобки:
1) 4(2а - 3b);
2) 0,3(9х - 5у + 7);
3) (-2,6m + 3,5n - 7,2) * (-10);
4) -m(-n + 8k -12).
*размещая тексты в комментариях ниже, вы автоматически соглашаетесь с пользовательским соглашением