Упр.22.2 ГДЗ Мерзляк Поляков 7 класс (Алгебра)
Решение #1

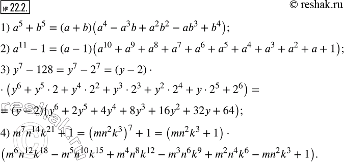
Рассмотрим вариант решения задания из учебника Мерзляк, Поляков 7 класс, Вентана-Граф:
22.2. Разложите на множители:
1) a^5+b^5; 2) a^11-1; 3) y^7-128; 4) m^7 n^14 k^21+1.
*размещая тексты в комментариях ниже, вы автоматически соглашаетесь с пользовательским соглашением