Упр.216 ГДЗ Мерзляк Полонский 7 класс (Алгебра)
Решение #1
Решение #2

Рассмотрим вариант решения задания из учебника Мерзляк, Полонская, Якир 7 класс, Вентана-Граф:
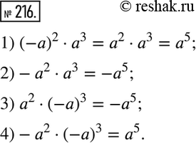
216. Упростите выражение:
1) (-а)2 * a3;
2) -a2 * a3;
3) a2 * (-a)3;
4) -a2 * (-a)3.
*размещая тексты в комментариях ниже, вы автоматически соглашаетесь с пользовательским соглашением