Упр.19.5 ГДЗ Мерзляк Поляков 7 класс (Алгебра)
Решение #1

Рассмотрим вариант решения задания из учебника Мерзляк, Поляков 7 класс, Вентана-Граф:
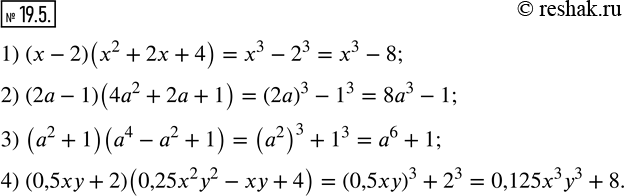
19.5. Представьте в виде многочлена выражение:
1) (x-2)(x^2+2x+4);
2) (2a-1)(4a^2+2a+1);
3) (a^2+1)(a^4-a^2+1);
4) (0,5xy+2)(0,25x^2 y^2-xy+4).
*размещая тексты в комментариях ниже, вы автоматически соглашаетесь с пользовательским соглашением