Упр.17.3 ГДЗ Мерзляк Поляков 7 класс (Алгебра)
Решение #1

Рассмотрим вариант решения задания из учебника Мерзляк, Поляков 7 класс, Вентана-Граф:
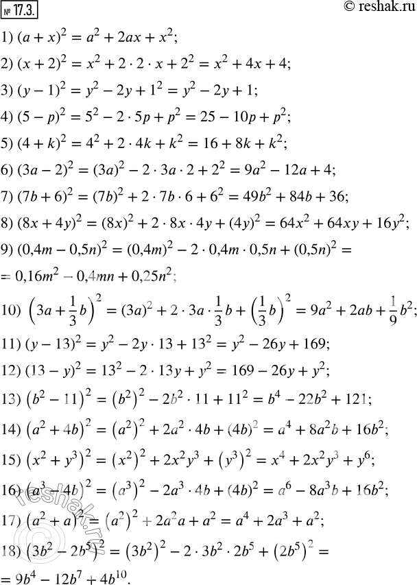
17.3. Представьте в виде многочлена выражение:
1) (a+x)^2; 2) (x+2)^2; 3) (y-1)^2;
4) (5-p)^2; 5) (4+k)^2; 6) (3a-2)^2;
7) (7b+6)^2; 8) (8x+4y)^2; 9) (0,4m-0,5n)^2;
10) (3a+1/3 b)^2; 11) (y-13)^2; 12) (13-y)^2;
13) (b^2-11)^2; 14) (a^2+4b)^2; 15) (x^2+y^3 )^2;
16) (a^3-4b)^2; 17) (a^2+a)^2; 18) (3b^2-2b^5 )^2.
*размещая тексты в комментариях ниже, вы автоматически соглашаетесь с пользовательским соглашением