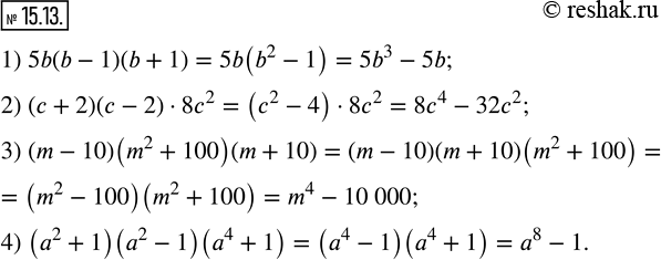
Упр.15.13 ГДЗ Мерзляк Поляков 7 класс (Алгебра)
Решение #1

Рассмотрим вариант решения задания из учебника Мерзляк, Поляков 7 класс, Вентана-Граф:
15.13. Выполните умножение:
1) 5b(b-1)(b+1);
2) (c+2)(c-2)•8c^2;
3) (m-10)(m^2+100)(m+10);
4) (a^2+1)(a^2-1)(a^4+1).
*размещая тексты в комментариях ниже, вы автоматически соглашаетесь с пользовательским соглашением