Упр.12.9 ГДЗ Мерзляк Поляков 7 класс (Алгебра)
Решение #1

Рассмотрим вариант решения задания из учебника Мерзляк, Поляков 7 класс, Вентана-Граф:
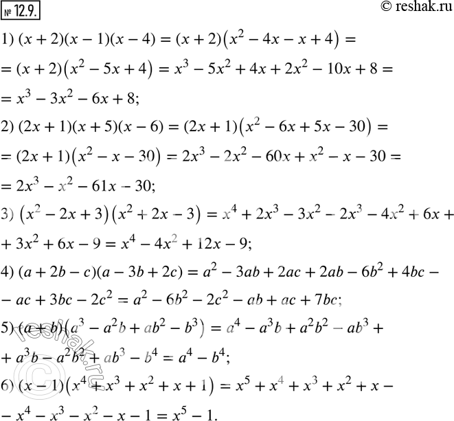
12.9. Выполните умножение:
1) (x+2)(x-1)(x-4);
2) (2x+1)(x+5)(x-6);
3) (x^2-2x+3)(x^2+2x-3);
4) (a+2b-c)(a-3b+2c);
5) (a+b)(a^3-a^2 b+ab^2-b^3 );
6) (x-1)(x^4+x^3+x^2+x+1).
*размещая тексты в комментариях ниже, вы автоматически соглашаетесь с пользовательским соглашением