Упр.1039 ГДЗ Мерзляк Полонский 7 класс (Алгебра)
Решение #1

Рассмотрим вариант решения задания из учебника Мерзляк, Полонская, Якир 7 класс, Вентана-Граф:
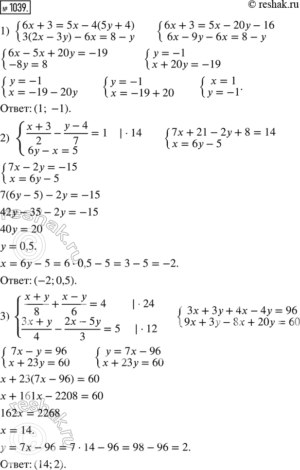
1039. Решите систему уравнений:
1) система
6х + 3 = 5x-4(5y + 4),
3(2х - Зy) - 6х = 8 - y;
2) система
3) система
*размещая тексты в комментариях ниже, вы автоматически соглашаетесь с пользовательским соглашением